当前位置:k8凯发平台 > 高中数学 > 圆锥曲线 > 正文内容
英才学习-阿江3年前 (2021-12-13)圆锥曲线786

圆锥曲线11大常考题型 近5年真题汇总

圆锥曲线11大常考题型如下
题型一:数形结合确定直线和圆锥曲线的位置关系
题型二:弦的垂直平分线问题
题型三:动弦过定点的问题
题型四:过已知曲线上定点的弦的问题
题型五:共线向量问题
题型六:面积问题
题型七:弦或弦长为定值问题
题型八:角度问题
题型九:四点共线问题
题型十:范围问题(本质是函数问题)
题型十一:存在性问题(存在点、直线y=kx b、实数、圆形、三角形、四边形等)
图片
题型一:数形结合确定直线和圆锥曲线的位置关系
图片
   图片
题型二:弦的垂直平分线问题
图片
题型三:动弦过定点的问题
图片
图片
题型四:过已知曲线上定点的弦的问题
图片
图片
题型五:共线向量问题
图片
题型六:面积问题
图片
图片
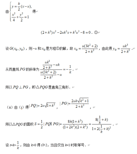
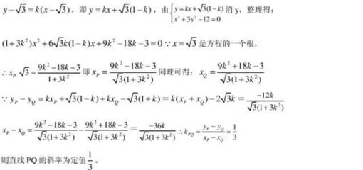
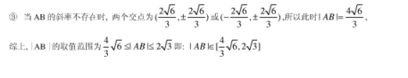
题型七:弦或弦长为定值问题
图片
图片
图片
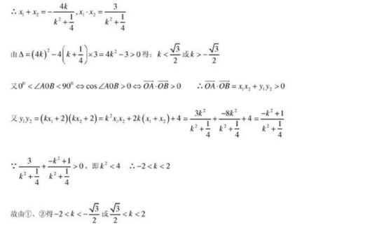
题型八:角度问题
图片
题型九:四点共线问题
图片
图片
图片
题型十:范围问题(本质是函数问题)
图片
图片
题型十一:存在性问题(存在点、直线y=kx b、实数、圆形、三角形、四边形等)
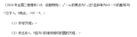
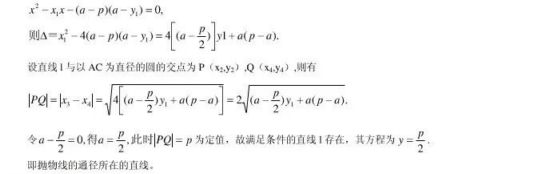
例1:
图片
图片
图片
例2:
图片
图片
图片
例3:
图片
图片
图片
图片
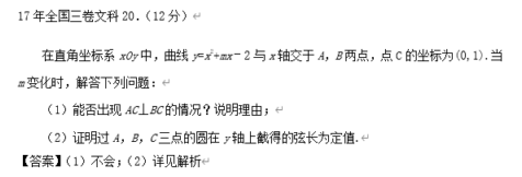
例4:
图片
图片
图片
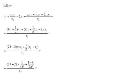
例5:
图片
图片
图片
图片
图片
图片
例6:
图片
图片
图片
图片
刷有所得:确定圆的方程方法
(1)直接法:根据圆的几何性质,直接求出圆心坐标和半径,进而写出方程。
(2)待定系数法
①若已知条件与圆心和半径有关,则设圆的标准方程依据已知条件列出关于的方程组,从而求出的值;
②若已知条件没有明确给出圆心或半径,则选择圆的一般方程,依据已知条件列出关于d、e、f的方程组,进而求出d、e、f的值。
例7:
图片
答案:
图片
解析:
图片
图片
刷有所得:该题考查的是有关直线与椭圆的问题,涉及到的知识点有直线方程的两点式、直线与椭圆相交的综合问题、关于角的大小用斜率来衡量,在解题的过程中,第一问求直线方程的时候,需要注意方法比较简单,需要注意的就是应该是两个,关于第二问,在做题的时候需要先将特殊情况说明,一般情况下,涉及到直线与曲线相交都需要联立方程组,之后韦达定理写出两根和与两根积,借助于斜率的关系来得到角是相等的结论.
例8:
图片
解析:
图片
图片
图片
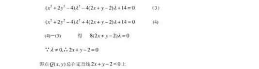
定点问题
例9:
图片
解析:
图片
图片
图片
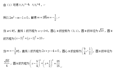
例10:
图片
图片
例11:
图片
解析:
图片
图片例12:
图片
图片
例13:
图片
答案:
图片
图片
图片
例14:
图片

图片
例15:
图片
解析:
图片
图片
离心率问题
例16:
图片
答案:d
解析:
图片
刷有所得:椭圆定义的应用主要有两个方面:一是判断平面内动点与两定点的轨迹是否为椭圆,二是利用定义求焦点三角形的周长、面积、椭圆的弦长及最值和离心率问题等;“焦点三角形”是椭圆问题中的常考知识点,在解决这类问题时经常会用到正弦定理,余弦定理以及椭圆的定义.
例17:
图片
答案:c
解析:
图片
例18:
图片
答案:c
解析:
图片
刷有所得:求离心率的值或范围就是找的值或关系。由想到点m的轨迹为以原点为圆心,半径为的圆。再由点m在椭圆的内部,可得,因为 。所以由得,由关系求离心率的范围。
例19:
图片
答案:a
解析:
图片
刷有所得:本题主要考查椭圆的定义及离心率以及双曲线的定义及离心率,属于中档题. 离心率的求解在圆锥曲线的考查中是一个重点也是难点,一般求离心率有以下几种情况:①直接求出,从而求出;②构造的齐次式,求出;③采用离心率的定义以及圆锥曲线的定义来求解;④根据圆锥曲线的统一定义求解.
例20:
图片
答案:d
解析:
图片
例21:
图片
答案:a
解析:
图片
刷有所得:解决椭圆和双曲线的离心率的求值及取值范围问题,其关键就是确立一个关于的方程或不等式,再根据的关系消掉得到的关系式,而建立关于的方程或不等式,要充分利用椭圆和双曲线的几何性质、点的坐标的范围等.
例22:
图片
答案:a
解析:
图片
刷有所得:
图片
例23:
图片
答案:a
解析:
图片
例24:
图片
例25:
图片
例26:
图片
答案:c
解析:
图片
图片
例27:
图片
例28:
图片
答案:c
解析:
图片
例29:
图片
例30:
图片
答案:d
解析:
图片
例31:
图片
例32:
图片
例33:
图片


扫描二维码推送至手机访问。

特别声明:

本站属于公益性网站,纯粹个人原因(陪孩子学习便于查询和教授),网站部分内容收集于网络,仅供学生和老师参考、交流使用,请勿用作其他商业收费用途

如果网站内容能给你带来提升,那便是我经营此网站的初衷。网站相关内容如有问题,请及时提出,我在此谢谢!

本站尊重原创并对原创者的文章表示肯定和感谢,如有侵权请联系删除!针对本站原创内容,本站也欢迎转载,如需转载请注明出处。

本文链接:https://www.yc8.com.cn/wenzhang/202112/835.html

标签:
分享给朋友:

“圆锥曲线11大常考题型 近5年真题汇总” 的相关文章

发表评论

访客

◎欢迎参与讨论,请在这里发表您的看法和观点。
网站地图