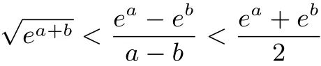
对于实数a,b,且a̸=b,定义
为a,b的指数平均数,则
.
证明:
先证指数平均不等式的右边,如下:
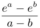
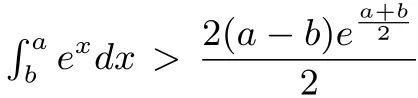
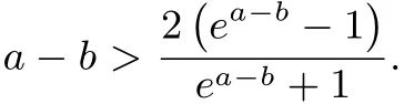
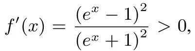
不妨设a>b,即a-b>0,ea-eb>0,要证不等式的右边,即证a-b>
,则证
换元,令a-b=t>0,所以需证
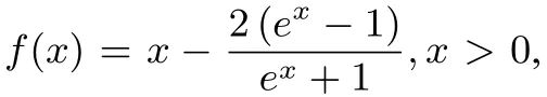
构造函数
即证f(x)> 0.求导得
即f(x)为(0, ∞)上的增函数,则f(x)>f(0)=0,不等式右边得证,
同理可证不等式左边.
综上述所,指数平均不等式链得证.
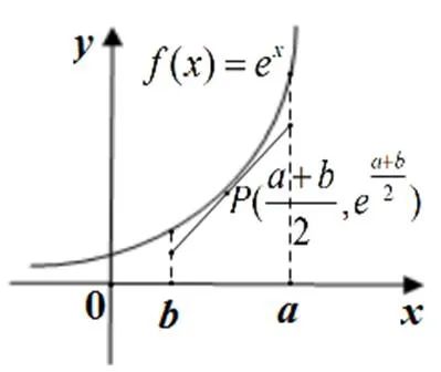
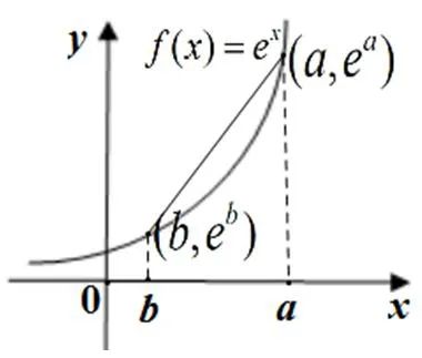
上述指数平均不等式有着优美的几何意义,即“无字证明”,如下:

图1

图2
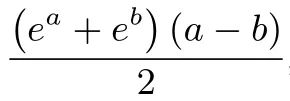
如图1,曲边梯形面积大于直角边梯形面积,即s曲梯 > s直梯,所以
,即ea-eb>
则
故不等式左边得证;
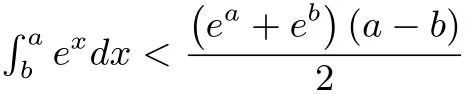
如图2,直角边梯形面积大于曲边梯形面积,即s曲梯 < s直梯,所以
,即ea-eb<
,则
,故不等式右边得证.
综上述所,指数平均不等式链得证.
扫描二维码推送至手机访问。
特别声明:
本站属于公益性网站,纯粹个人原因(陪孩子学习便于查询和教授),网站部分内容收集于网络,仅供学生和老师参考、交流使用,请勿用作其他商业收费用途。
如果网站内容能给你带来提升,那便是我经营此网站的初衷。网站相关内容如有问题,请及时提出,我在此谢谢!
本站尊重原创并对原创者的文章表示肯定和感谢,如有侵权请联系删除!针对本站原创内容,本站也欢迎转载,如需转载请注明出处。