高中数学:函数 - 对勾函数、飘带函数
一、对勾函数
函数表达式:

备注:凡是用上式表示的函数,均为对勾函数。
定义域:{x|x≠0}
值域:

备注:通过基本不等式得出值域的取值范围。
图像:
①当a>0,b>0时,图像在一,三象限

②当a<0,b<0时,图像在二,四象限

顶点坐标:
①当a>0,b>0时

具体如下图所示:

② 当a<0,b<0时,

具体如下图所示:

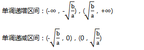
单调性:
①当a>0,b>0时,

② 当a<0,b<0时,

渐近线:
对勾函数的渐近线有两条,分别为:x=0,y=ax
具体如下图红色直线所示:

备注:对勾函数也是双曲线的一种。
对称轴:
对勾函数有两条对称轴,且这两条对称轴是互相垂直的:

备注:对勾函数的对称轴为两条渐近线的角平分线。

函数表达式:

备注:凡是用上式表示的函数,均为对勾函数。
定义域:{x|x≠0}
值域:

备注:通过基本不等式得出值域的取值范围。
图像:
①当a>0,b>0时,图像在一,三象限

②当a<0,b<0时,图像在二,四象限

顶点坐标:
①当a>0,b>0时

具体如下图所示:

② 当a<0,b<0时,

具体如下图所示:

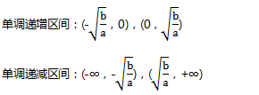
单调性:
①当a>0,b>0时,

② 当a<0,b<0时,

渐近线:
对勾函数的渐近线有两条,分别为:x=0,y=ax
具体如下图红色直线所示:

备注:对勾函数也是双曲线的一种。
对称轴:
对勾函数有两条对称轴,且这两条对称轴是互相垂直的:

备注:对勾函数的对称轴为两条渐近线的角平分线。

扫描二维码推送至手机访问。
特别声明:
本站属于公益性网站,纯粹个人原因(陪孩子学习便于查询和教授),网站部分内容收集于网络,仅供学生和老师参考、交流使用,请勿用作其他商业收费用途。
如果网站内容能给你带来提升,那便是我经营此网站的初衷。网站相关内容如有问题,请及时提出,我在此谢谢!
本站尊重原创并对原创者的文章表示肯定和感谢,如有侵权请联系删除!针对本站原创内容,本站也欢迎转载,如需转载请注明出处。